RIPA裂解液(強) 
	● 產品包裝: 
	
		
			
				| 
					 
						產品編號 
					 
				 | 
				
					 
						產品名稱 
					 
				 | 
				
					 
						產品包裝 
					 
				 | 
				
					 
						說明書 
					 
				 | 
			
			
				| 
					 
						RL1020 
					 
				 | 
				
					 
						RIPA裂解液(強) 
					 
				 | 
				
					 
						100 ml 
					 
				 | 
				
					 
						1份 
					 
				 | 
			
		
	
 
	● 產品簡介: 
	RIPA裂解液(RIPA
Lysis Buffer)是一種傳統的細胞組織快速裂解液。RIPA裂解液裂解得到的蛋白樣品可以用于常規的Western、IP等。RIPA的本意是Radio  Immunoprecipitation  Assay。RIPA裂解液的配方有很多種,根據其裂解液的強度大致可以分為強、中、弱三類。RIPA裂解液(強)的主要成分為50 mM Tris (pH 7.4),150 mM NaCl,1% Triton
X-100,1%
sodium deoxycholate,0.1% SDS,以及sodium orthovanadate,sodium
fluoride,EDTA,EGTA等多種抑制劑。可以有效抑制蛋白降解。由于含有較高濃度的Triton X-100等干擾物質,不能用傳統Bradford法測定由本裂解液裂解得到樣品的蛋白濃度,可以使用BCA蛋白濃度測定試劑盒(貨號:RTP7102)或Bradford蛋白濃度測定試劑盒(去垢劑兼容型)(貨號:RTP7104)測定蛋白濃度。
	● 保存條件: 
	-20℃保存,一年有效。
	● 注意事項: 
	1.為取得最佳的使用效果,盡量避免過多的反復凍融。可以適當分裝后使用。需自備PMSF。裂解樣品的所有步驟都需在冰上或4℃進行。
	2. RIPA裂解液的裂解產物中經常會出現一小團透明膠狀物,屬正常現象。該透明膠狀物為含有基因組DNA等的復合物。在不檢測與基因組DNA結合特別緊密的蛋白的情況下,可以直接離心取上清用于后續實驗;如果需要檢測和基因組結合特別緊密的蛋白,則可以通過超聲處理打碎打散該透明膠狀物,隨后離心取上清用于后續實驗。如果檢測一些常見的轉錄因子,例如NF-kappaB、p53等時,通常不必進行超聲處理,就可以檢測到這些轉錄因子。
	● 使用說明: 
	1.  準備RIPA裂解液: 
	融解RIPA裂解液,混勻;取適當量的裂解液,在使用前數分鐘內加入1/100體積的100 mM PMSF,使PMSF的最終濃度為1 mM。
	2. 細胞蛋白提取: 
	2.1 貼壁細胞:去除培養液,加入適量1×PBS,輕柔漂洗一遍,不要擾動貼壁細胞。按照6孔板每孔加入100-200 μl裂解液的比例加入裂解液,移液器吹打數下,使裂解液和細胞充分接觸,冰上裂解細胞5分鐘,用細胞刮刀刮下細胞收集于1.5 ml離心管中,冰上繼續裂解15分鐘,間歇混勻。
	 
	 
	 
	
		
			
				| 
					 
						培養板規格/培養皿表面積 
					 
				 | 
				
					 
						細胞量 
					 
				 | 
				
					 
						RIPA推薦使用量 
					 
				 | 
			
			
				| 
					 
						100 mm培養皿 
					 
				 | 
				
					 
						1.5×107 
					 
				 | 
				
					 
						0.5-1 ml 
					 
				 | 
			
			
				| 
					 
						60 mm培養皿 
					 
				 | 
				
					 
						5×106 
					 
				 | 
				
					 
						0.25-0.5 ml 
					 
				 | 
			
			
				| 
					 
						35 mm培養皿 
					 
				 | 
				
					 
						2×106 
					 
				 | 
				
					 
						0.2-0.4 ml 
					 
				 | 
			
			
				| 
					 
						6孔板 
					 
				 | 
				
					 
						2.5×106 
					 
				 | 
				
					 
						100-200 μl 
					 
				 | 
			
			
				| 
					 
						24孔板 
					 
				 | 
				
					 
						5×105 
					 
				 | 
				
					 
						100-150 μl 
					 
				 | 
			
			
				| 
					 
						96孔板 
					 
				 | 
				
					 
						1×105 
					 
				 | 
				
					 
						50-100 μl 
					 
				 | 
			
		
	
 
	2.2 懸浮細胞:450 g
4℃ 離心5 min收集細胞;用適量1×PBS重懸細胞,450 g 4℃ 離心5 min收集細胞;重復漂洗細胞一次;按照細胞沉淀體積(PCM)20 μl加入200 μl RIPA的比例加入RIPA,混勻細胞沉淀,冰浴處理15分鐘,間歇混勻。
	注:2×106 Jurkat細胞,其細胞沉淀體積(PCM,Packed Cell Volume)大約為20 μl。  
	2.3 裂解細胞: 
	裂解混合物超聲波處理(超聲條件根據儀器調整,建議條件為);如沒有超聲破碎儀,可以使用注射器用27G針頭處理裂解物10-15次(貨號:PE2719 ,蛋白提取針頭套裝),以徹底裂解細胞。冰浴處理15分鐘。
	注:裂解中細胞會釋放出變性的核酸,呈團狀粘稠透明樣,如不進行超聲或針頭裂解處理,會導致裂解物非常粘稠,大大降低蛋白提取的得率和純度。
	2.4 離心收集上清: 
	充分裂解后,4℃ 16000
g離心10分鐘,取上清,即可進行后續的PAGE、Western和免疫沉淀等操作。
	3. 組織樣品蛋白提取: 
	3.1 手術切除的組織塊迅速置于預冷的生理鹽水中,漂洗數次,洗凈組織血跡,用濾紙吸
	干組織表面液體,將組織切成細小的碎片。
	3.2 按照每20 mg組織加入200 μl裂解液的比例加入裂解液。(如果裂解不充分可以適當添加更多的裂解液,如果需要高濃度的蛋白樣品,可以適當減少裂解液的用量。)
	3.3 用玻璃勻漿器冰浴勻漿5-10次,收集勻漿后的裂解混合物,超聲波處理(超聲條件根據儀器調整,建議條件為);如沒有超聲破碎儀,可以使用注射器用27G針頭處理裂解物10-15次(貨號:PE2719 ,蛋白提取針頭套裝),以徹底裂解細胞。裂解物冰浴處理15分鐘。
	注:裂解中細胞會釋放出變性的核酸,呈團狀粘稠透明樣,如不進行超聲或針頭裂解處理,會導致裂解物非常粘稠,大大降低蛋白提取的得率和純度。
	3.4 充分裂解后,4℃ 16000
g離心10分鐘,取上清,即可進行后續的PAGE、Western和免疫沉淀等操作。
	
	實驗示例: 
	
 
	Jurkat RIPA總蛋白提取,GAPDH檢測 
	總蛋白提取:4×106 Jurkat細胞,450 g 離心收集,去上清,PBS漂洗兩次,沉淀中加入200 μl RIPA(加2 μl 100 mM PMSF),冰上裂解5分鐘,4℃ 16000 g 15 分鐘,上清即為總蛋白(TP)。
	電泳:RTD6132-15%3.3C  200 V 33-12 mA 55 min
	轉膜:NC膜,1×RealBlot快速轉膜液濕轉,穩流400 mA,電壓變化64-57 V,轉膜時間35 min
	封閉:無蛋白快速封閉液,RT 20 min
	一抗孵育:GAPDH 羊抗兔多抗,一抗稀釋液稀釋1:2000
	二抗孵育:羊抗兔IgG-HRP,二抗稀釋液稀釋1:5000
	檢測:ECL發光檢測
	
	實驗示例:
	
 
  
                            
	
1、作用:①利用去污劑破壞脂質雙分子層,破裂細胞;②溶解蛋白;③蛋白變性使其穩定;④抑制蛋白酶/核酸酶活性(根據后續實驗的目的不同,裂解液中會加入蛋白酶抑制劑或DNA/RNA酶抑制劑,方便目的物的提取。)去污劑是由一個疏水尾端基團和一個極性親水頭端基團組成的有機化合物。在一定的溫度條件下,以特定濃度溶解于水時,去污劑分子會形成膠束,疏水基團部分位于膠束內部,而極性親水基團則在其外部。去污劑膠束的疏水核心區域與蛋白質的疏水表面結合,形成可溶性的蛋白質-去垢劑復合物。去污劑根據其親水基團的不同分為:陰/陽離子去污劑、非離子型兩性去污劑、兩性去污劑。1)陰/陽離子型去污劑:離子去污劑是由一個疏水鏈和一個陽離子或陰離子的極性頭端基團組成。此類去污劑活性較強,作用強烈,會更大程度的改變蛋白質的結構,更容易受到pH、離子強度和反離子的性質等因素影響。如陰離子去污劑-十二烷基硫酸鈉(SDS)、陰離子去污劑-脫氧膽酸鈉(Sodium deoxycholate)等。
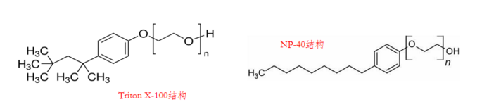
	離子型去污劑:非離子型去污劑和離子型不同,它們的頭端基團是沒有極性的親水基團,是比較溫和的表面活性劑。它們可以破壞蛋白質-脂質以及脂質-脂質之間的連接,但是不能破壞蛋白質-蛋白質的連接,而且大多非離子去污劑不能使蛋白質變性。因此,這種去污劑可以使蛋白質溶解和分離,但卻保留了蛋白質的天然構象、功能以及它們的相互作用。如Triton X-100、乙基苯基聚乙二醇(NP-40)、Tween-80等。 
	
 
3)兩性去污劑:兩性離子去污劑頭端基團是親水性,含有正負電荷各一個,因此呈現電中性。兩性去污劑在酸性溶液中是正離子,在堿性溶液是負離子, 可在任何酸堿度的溶液中使用。相對于離子型去污劑其更少產生變性,相對于非離子型去污劑,又可以更有效的破壞蛋白質-蛋白質鍵并減少聚集。如CHAPS。Tris,三羥甲基氨基甲烷,是一種有機化合物,溶于乙醇和水,是核酸和蛋白質的溶劑,廣泛應用于生物化學和分子生物學實驗中緩沖液的制備。
	Tris為弱堿,在25°C下,它的pKa為8.1;根據緩沖理論,Tris緩沖液的有效緩沖范圍在pH7.0到9.2之間。0.1mol/l的水溶液pH為10.4,一般加入鹽酸以調節pH值,即可獲得所需pH值的緩沖液。 
	
 
	
 
	主要應用有:①1M Tris-HCl pH6.8、1.5M Tris-HCl pH8.8和5×Tris-甘氨酸電泳緩沖液是SDS-PAGE最常用的試劑。②在Tris鹽酸緩沖液中加入EDTA制成“TE緩沖液”,TE緩沖液被用于DNA的穩定和儲存。將調節pH值的鹽酸換為乙酸即可以得到“TAE(Tris/Acetate/EDTA)緩沖液”,換成硼酸則獲得“TBE(Tris/Borate/EDTA)緩沖液”。TAE和TBE緩沖液常用于核酸電泳實驗中。 
	不同裂解成分的裂解強度不同,可以根據不同的實驗需求選用不同的裂解液。 
	
 
1、NP40 lysis buffer:主要成分為50mM Tris(pH7.4),150mM NaCl,1% NP-40。NP-40是一種很溫和的非離子型去污劑,1%濃度基本可以破壞掉細胞膜,而對核膜的破壞作用較弱,結合特定的緩沖液可以獲得胞漿蛋白,適用于膜蛋白非變性條件下的溶解。與蛋白結合力強,用于防止物質分子疏水間相互作用,確保蛋白的充分溶解和結構穩定。常用于常規的Western、IP和co-IP和ELISA,如需要裂解細胞核膜獲取核蛋白,可用1%NP40+0.1%SDS(WB實驗)或用1%NP40+超聲(IP實驗)。2、SDS lysis buffer:主要成分為50mM Tris (pH8.1),1% SDS;是一種比較強烈的細胞組織裂解液,可裂解核膜;用于常規Western、ChIP等。3、RIPA裂解液:組分為25 mM Tris-HCl, pH 7.6、150 mM NaCl、1% NP-40、1%脫氧膽酸鈉、0.1%十二烷基硫酸鈉(SDS)。RIPA裂解液是一種傳統的細胞組織快速裂解液,獲得的蛋白樣品可用于常規WB、IP等實驗。
	
	4、IP裂解液:組分為25 mM Tris-HCl, pH 7.4、150 mM NaCl、1% NP-40、1% mM EDTA、5% 甘油。IP裂解液是一種改良后的RIPA裂解液,具中等強度效力,可高效溶解細胞蛋白,但不會像RIPA一樣釋放染色體組DNA或破壞蛋白復合物。適合下游免疫沉淀或親和吸附應用。 
	
	5、Tris-Triton裂解液:組分為10mM Tris,pH7.4、100mM NaCl、1mM EDTA、1mM EGTA(鈣離子螯合劑)、1% Triton X-100、10% 甘油、0.1% SDS、0.5% 脫氧膽酸鈉。Tris-Triton裂解液是非離子型表面活性劑,效力介于NP-40和SDS之間,下游應用有WB、ELISA、IP。 
	
	6、紅細胞裂解液: 
	紅細胞裂解液是一種比較溫和的紅細胞去除方法,它既不損傷有核細胞又能充分的去除紅細胞;主要用于經酶消化分散的組織細胞的分離純化,淋巴細胞的分離純化以及組織細胞蛋白與核酸提取等實驗中紅細胞的去除。經紅細胞裂解液裂解得到的組織細胞中不含紅細胞,可進一步用于原代培養、細胞融合、流式細胞分析、核酸與蛋白的分離和提取等。 
	
	氯化銨是紅細胞裂解液的主要效應物質,氨根離子不能通過細胞膜,而其他離子可以通過,造成細胞內外的離子濃度差異,形成了滲透壓差,外部的水分會擴散至細胞內,使紅細胞膨脹,達到裂解的效果。由于紅細胞結構相對簡單,因此膨脹的耐受能力較差,絕大部分就會被漲破。碳酸鹽的主要作用為PH緩沖。EDTA與鎂離子和鈣離子形成的螯合物主要起到破壞細胞膜穩態的作用,此作用對白細胞影響很小,所以這種裂解液可以在裂解紅細胞的同時較小的影響白細胞。 
	
 
                            
                            
                            
	使用RIPA(貨號:RL1020)發表部分文章列表
	1. [2022 IF=2.1] METTL3-mediated
methylation of CYP2C19 mRNA may aggravate clopidogrel resistance in ischemic stroke
patients.
	Author: Quandan Tan, Le
Yang, Shanshan Yuan, Danni Zheng, Yapeng Lin, Kejie Chen, Ying He, Shuntian
Chen, Junli Hao, Jin Dai, Song He, Fengkai Mao, Xinyi Leng, Haisong Jiang, Jie
Yang.
	Journal: Open
Medicine 2024; 19: 20240899.
	Institution: University of Electronic Science and Technology of
China
	Paper link:https://doi.org/10.1515/med-2024-0899 
	 
	2. [2023 IF=2.8] Anti?tumor activity of butorphanol
in colorectal cancer via targeting SIGMAR1.
	Author: Xueqi Hou, Longfei Qu,Yong Xu,Jie Liu,
Jianlian Guo
	Journal: Discover Oncology (2024) 15:711
	Institution:School of Medicine,
Xiamen University
	Paper link: https://doi.org/10.1007/s12672-024-01581-1